Thinking of starting a limited liability company (LLC) in Arkansas? This guide walks you through the process step by step.
While Arkansas may not top the list of vacation destinations, it’s a thriving hub for small businesses. With its pro-business tax policies, extensive transportation network, and opportunities to partner with major corporations, the state offers a fertile ground for entrepreneurs.
Establishing an LLC in Arkansas involves key steps such as filing formation documents with the Secretary of State, obtaining necessary permits and licenses, and completing essential administrative tasks.
In this post, we’ll break down everything you need to know to get started.
Steps to Get an LLC in Arkansas
- Step 1: Pick a name for your LLC
- Step 2: Choose a registered agent
- Step 3: File the Arkansas Certificate of Organization
- Step 4: Get a Certificate of LLC formation
- Step 5: Create an LLC Operating Agreement
- Step 6: Get an Employer Identification Number (EIN) from the IRS
- Costs to set up an LLC in Arkansas
- Once your LLC is formed
Step 1: Pick a name for your LLC
The first order of business is to select a name for your Arkansas LLC.
Your LLC's name must:
- Include Limited Liability Company or one of the abbreviations of LLC, Ltd, LC
- Be unique and distinguishable from existing business entities
- Avoid words like bank, engineer, or insurance unless authorized
Use the Arkansas Secretary of State’s name availability tool to see if a name is available. Avoid using names related to existing businesses. You don't want to create confusion.

Making a name reservation (optional)
You can reserve a specific business name for 120 days. This lets you secure the name while preparing to launch.
File Form RN-06 to reserve your LLC’s name. There’s a $22.50 fee for online filings and $25 for mail-ins.
Trade name (optional)
Some business owners choose to operate under a name different from the LLC's legal name. This is a DBA (doing business as) name or trade name. Arkansas calls it a fictitious name.
Fictitious names offer a lot of flexibility. You can form one LLC and operate different product or service lines under it. For example, Lisa's Enterprises LLC could use trade names like Lisa's Ad Agency and Lisa’s Web Design. You can have an unlimited number of DBAs for each LLC.
File Form DN-18 to register a fictitious name in Arkansas with the Secretary of State. Be prepared to pay $22.50 for online submissions or $25 for mail-in ones.
Step 2: Choose a registered agent
A critical step in starting an LLC in Arkansas is appointing a registered agent. This contact receives official items like tax documents and legal notices.
You can serve as your own registered agent if you’re over 18 and have a physical address in Arkansas. You can’t use a P.O. Box.
Being your own registered agent comes with some downsides:
- You must be available during business hours to receive legal notices
- It lacks privacy as the registered agent’s address is public information
- You’ll have to sort through junk mail without missing any critical documents
- You must update your address if you move
In case you don't want to be your own registered agent, you can hire one for about $99-$199/year in Arkansas.
If you form an LLC with Northwest, they'll give you a free registered agent for the first year. After that, it's $125 per year.
Step 3: File the Arkansas Certificate of Organization
The next step is filing a Certificate of Organization for a domestic LLC in Arkansas. This exciting step turns your business dreams into an actual legal entity. Other states call this the Articles of Organization.
Filing your LLC’s organization documents can seem intimidating. But the process is much easier than you likely imagine.
The Certificate of Organization only requires basic information about your business, including:
- Business name
- Principal address
- Registered agent
- LLC owner(s)
The filing fee is $50 for paper filings or $45 for online submissions.

Companies from other states that wish to do business in Arkansas must register as a Foreign LLC. They’ll need to use the Certificate of Registration of a Foreign LLC. This filing fee is $270 for online applications and $300 for mailed applications.
Step 4: Get a Certificate of LLC formation
Once the Arkansas Secretary of State approves your LLC’s formation, you’ve started an Arkansas LLC. You want to get a certified copy of the approval to keep with your records.
Request certified document copies from the Arkansas Secretary of State. There is a $5 fee plus $0.50 per page.
Some banks or financing opportunities may need this to open an account or receive funds.
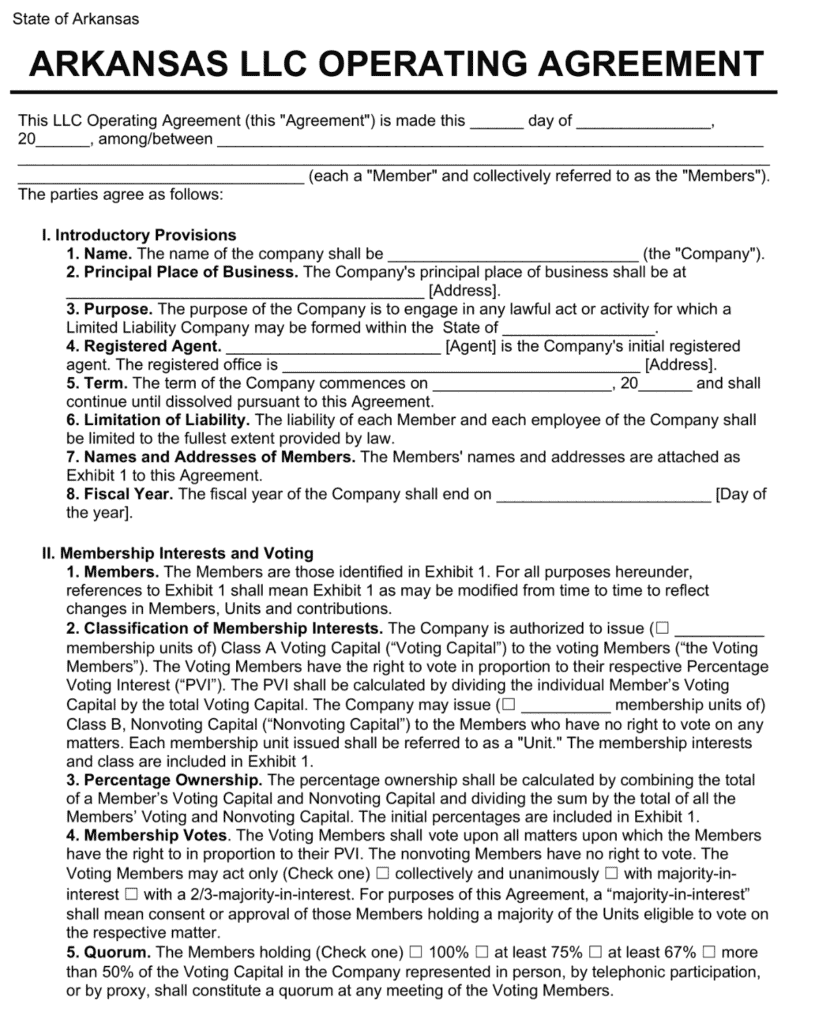
Step 5: Create an LLC Operating Agreement
An operating agreement is a private contract between members. It lays out how the LLC will work. They are important for multi-member LLCs especially.
If you don’t have an operating agreement, state law will apply if disputes arise. This can lead to unexpected results that may not align with your desires. Executing an operating agreement protects your interests and helps avoid surprises.
This legal document includes:
- LLC management structure
- Operating principles
- Profit and loss distribution among members
- Internal administrative processes
- Members’ voting rights

A clear-cut operating agreement establishes the rights and responsibilities of all LLC members. It also minimizes the grounds for disputes.
Free and low-cost LLC operating agreement templates are available online. You can adjust them to meet your needs. Or hire a corporate lawyer to draft a custom document for your LLC.
Step 6: Get an EIN (Employer Identification Number) from the IRS
An Employer Identification Number (EIN) is issued by the Internal Revenue Service (IRS). It is a unique 9-digit number for businesses, like a Social Security number. The IRS uses it to track your LLC's tax information.
You can get an EIN for free from the IRS website. You can also request one through the mail, which can take up to 3 weeks to process.
Arkansas will also use your EIN for state tax withholding purposes.
Costs to set up an LLC in Arkansas
The costs to form your LLC in Arkansas vary. They depend on how much professional help you use and your LLC's complexity.
At the least, you must pay $45 to file the Certificate of Organization online and another $5 for a copy of the approved certification.
Other (optional) costs to start an Arkansas LLC may include:
- Name reservation: $22.50 online / $25 mail
- DBA/trade name registration: $22.50 online / $25 mail
- Professional registered agent: $50 – $100 per year
- Certificate of Organization: $45 online / $50 mail
- Foreign LLC Registration: $270 online / $300 mail
- Certified copies of documents: $5+
- Operating agreement draft: $0 – $1,000
Once your LLC is formed
Congratulations. You have now successfully created your LLC in Arkansas. Before you start operating, you’ll need to take care of a few more details:
Register with the Arkansas Department of Finance and Administration
All Arkansas LLCs are subject to a minimal annual franchise tax of $150.
You may also be liable for other state taxes. LLCs that hire employees may be subject to employment taxes.
Some business operations must collect and pay excise taxes, such as sales and use tax. This applies if your LLC:
- Sells goods from a retail location or inventory
- Performs a taxable service
- Leases or rents tangible property
The Arkansas Secretary of State has combined business tax registration on the AR-1R form. You can also use the Arkansas Taxpayer Access Point (ATAP) online system.
Open a business bank account
LLC members need to keep business and personal finances separate. It’s crucial for maintaining LLC personal asset protection.
If you combine your personal and business finances, you may lose the legal benefits that LLCs offer.
Obtain local licenses and permits
Besides state needs, your LLC must also meet local laws. These may include city licenses and other local permits. For example, the city of Little Rock requires all LLCs to have a business license. Little Rock also issues permits for alcohol sales. Fort Smith has a mandatory business license as well.
Before you launch operations, make sure your LLC gets what it needs to start up.
Resources and help
Many LLC owners get insurance policies to protect them during challenging times. Things like general liability and workers’ compensation policies are worth the price.
Connecting with the local business community can also pay dividends. By joining groups like the Chamber of Commerce, you can learn from successful peers. The Arkansas SMTDC provides free consulting.
LLC Formation Service
- Formed 1,000,000+ LLCs
- $39 formation includes registered agent service
- Fast formation & same day filing
- Exceptional customer reviews
Last updated:
Jan 2025