Starting an LLC (Limited Liability Company) or expanding your existing business to a new state can feel overwhelming for new entrepreneurs.
If you're considering forming an LLC in Oklahoma, this guide will walk you through the process step by step.
Oklahoma offers business-friendly perks, including low filing fees and straightforward requirements for incorporation. Additionally, the state's affordable living costs, favorable tax rates, and manageable employee overhead make it an excellent choice for operating a physical business.
Ready to get started? Here's how to form an LLC in Oklahoma.
Steps to Get an LLC in Oklahoma:
- Step 1: Choose a name for your new LLC
- Step 2: Appoint a registered agent
- Step 3: File Oklahoma LLC Articles of Organization
- Step 4: Obtain an EIN (Employer Identification Number) from the IRS
- Step 5: Create an LLC operating agreement
- Step 6: Open a bank account
- Total costs to set up an LLC in Oklahoma
Step 1: Choose a name for your new LLC
A legal business name is required for every new Oklahoma registered business entity.
The name has to be substantially different from those registered by other companies. And meet several other requirements:
- Include the words Limited Liability Company or Limited Company, or an abbreviation indicating this type of business entity, such as LLC, LC, L.L.C, L.C., or Ltd.
- Be distinguishable from the company names of corporations that existed in Oklahoma within the past three years.
- Don’t include restricted words, such as ones pertaining to certain professions and those that may be confused with government agencies.
Once you’ve come up with a name, you can find out whether your chosen business name is available by using Oklahoma’s Secretary of State’s business entity name availability search tool:

Alternatively, you can call the Secretary of State office to ask about name availability by phone at (405) 522-2520. This option also gets the office to confirm that your choice is sufficiently different from other registered business entity names.
Name reservation (optional)
If you’re still preparing your company formation documents and sorting out other operational details, it’s worth reserving your selected LLC name. To get a name reservation in Oklahoma, submit a filing form and a $10 fee.
Filings are accepted online and by mail. Business name reservations are valid for 60 days.
Trade name (optional)
If you plan to operate your business under a name different from your legal one (or have multiple brands under your LLC umbrella), it makes sense to file for a trade name with the state.
Also known as doing business as (DBA), a trade name showcases a connection between your business entity and the selected assumed name. The cost is $25 per name, and you must fill in a separate form. Filing for a Trade Name with Oklahoma serves a dual purpose:
- Keeps another business entity from using your LLC's name similar to a state trademark registration.
- Ensures good standing and compliance with the Secretary of State and prevents trademark issues with other Oklahoma registered businesses.
Step 2: Appoint a registered agent
All Oklahoma LLCs must have a registered agent to accept service of process of legal documents, such as in instances when the limited liability company is part of a lawsuit.
- Be an individual resident of OK, 18 years of age or older, or a qualifying business
- Have a street address in Oklahoma. P.O. boxes are not accepted
- Be available at the said physical address during regular business hours
You can be your own registered agent if you meet these requirements.
However, some LLC members choose to hire a registered agent service instead. It makes sense for out-of-state companies without a physical presence in OK. It may also be preferable for single-member LLCs operating from home addresses and keeping that address private from public records.
If you don't want to be your own registered agent, you can hire one for about $90-$249/year in OK. If you form an LLC with Northwest, they'll give you a free registered agent for the first year. After that, it's $125 per year.
Step 3: File Oklahoma LLC Articles of Organization
To form an LLC in Oklahoma, you must file Articles of Organization for your LLC, either online or by mail, to the Oklahoma Secretary of State’s Oklahoma City office and pay a $100 state fee.
This filing is the main requirement for company formation.

Oklahoma LLC articles of organization must contain certain information:
- Your LLC’s business name
- Street address of your LLC’s principal place of business (note that this cannot be a P.O. box address)
- An e-mail address for your LLC’s primary person of contact (which is where annual registration documents will be sent)
- Name and street address for the LLC’s registered agent
- Term of existence for your registered business
- Signature of at least one person
Foreign LLC in Oklahoma
If your Limited Liability Company (LLC) is organized in another U.S. state but expects to do business in Oklahoma, it should register with the Secretary of State as a foreign LLC.
There’s a separate registration form for foreign LLCs. The filing fee is $300. The form requirements are similar to domestic LLC formation. However, it also must include a Certificate of Good Standing from the Secretary of State’s office for the state that the LLC is organized. The certificate can’t be older than 60 days.
Step 4: Get an EIN (Employer Identification Number) from the IRS
Your Oklahoma LLC may require an employer identification number (EIN).
EIN is a unique number associated with your business structure. The Internal Revenue Service (IRS) uses it to identify your LLC on federal tax returns and other tax filings.
To obtain your LLC’s EIN, you can apply online.

- Any LLC or small business entity with employees must have a federal EIN.
- LLCs filing taxes as a corporation (C-corporation or S-corporation) or partner need an EIN.
- Also, companies in federally regulated industries need this number.
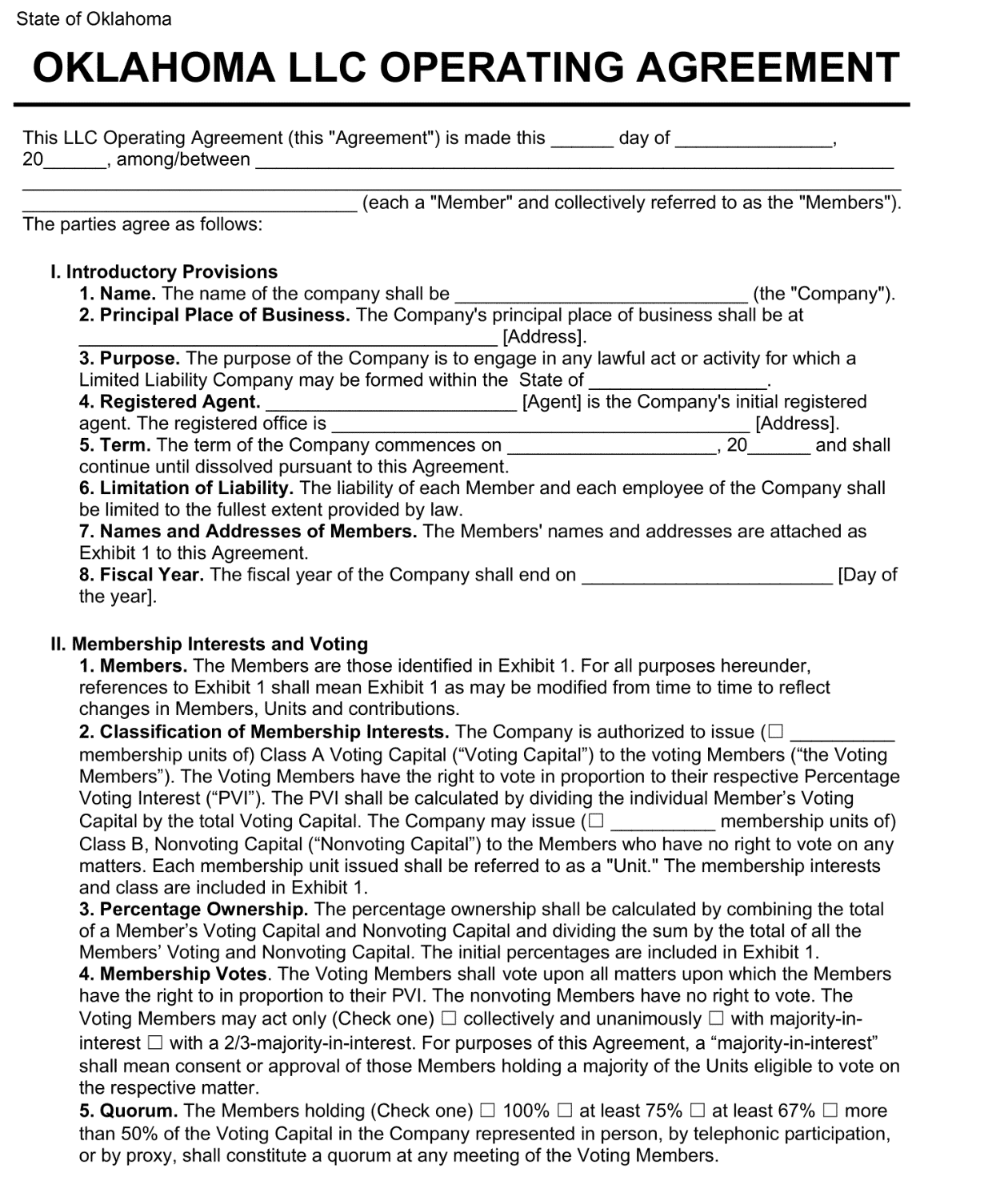
Step 5: Create an LLC operating agreement (optional)
For multi-member LLCs or manager-managed LLCs, a written operating agreement is recommended.
An operating agreement establishes the rights, obligations, liabilities, profit and loss share, officer roles, member roles, and other provisions laying out the LLC’s members' rights and obligations to each other and the LLC as a business entity.

This document is not required to be filed with the Oklahoma Secretary of State. However, it should be kept on internal records. Without an operating agreement, any possible disputes will be governed only by the articles of organization and Oklahoma laws.
It can complicate things, whereas having it all laid out in an operating agreement makes sure all members are on the same page. Not having an operating agreement may also increase the scope of your personal liability as your business owner.
To make an operating agreement, you can get a template online or seek help from an attorney or formation service.
Step 6: Open a bank account
Opening a business bank account for your LLC is highly advised.
Why?
You can more easily keep track of your business income and expenses and separate them from personal ones. It helps with taxes, allocating profits, payroll, and determining business profitability. Also, it lets you get business checks and credit cards. But most importantly, a separate business bank account prevents from commingling business and personal assets, which can lead to legal issues.
Some banks require that your LLC have an EIN to open a business bank account. Others don’t. On average, monthly fees are $12 – $25, but some banks waive the fees if you keep a minimum balance. Your business bank account doesn’t have to be a local bank. You can choose a national bank but will likely need to set up an account with a local branch.
Total costs to set up an LLC in Oklahoma
The minimum cost to start your Oklahoma LLC is $100 to file your Articles of Organization and another $10 to get a certified copy.
Here’s a summary of the costs of starting an LLC in Oklahoma:
- Reserving a business name – $10 (optional)
- Registering a DBA – $25 (optional)
- Using a professional registered agent – $90 – $249/year (optional)
- Filing your LLC Articles of Organization – $100
- Obtaining copies of approved Articles of Organization – $10+
- Drafting an Operating Agreement – $0 – $1,000 (optional)
These costs can vary depending on your needs and whether you choose to handle everything yourself or seek professional assistance.
LLC Formation Service
- Formed 1,000,000+ LLCs
- $39 formation includes registered agent service
- Fast formation & same day filing
- Exceptional customer reviews
Last updated:
Jan 2025